A nefropatia membranosa é uma das causas mais comuns de síndrome nefrótica em adultos. O manejo inicial depende do risco de progressão: pacientes de baixo risco podem ser acompanhados com medidas de suporte (restrição de sal e proteína, controle pressórico, inibidores do SRAA, estatinas, diuréticos). Já aqueles em risco moderado a alto podem necessitar imunossupressão, sendo o rituximabe preferido na maioria dos casos; alternativas incluem ciclofosfamida (CYC) associada a corticoides ou inibidores de calcineurina (ciclosporina, tacrolimus). A decisão deve considerar proteinúria, função renal, títulos de anti-PLA2R e evolução clínica.
###### Antes de iniciar o tratamento, alguns pontos são essenciais:
1. Não devemos imunossuprimir sem estratificar risco (ex.: baixo risco com grande chance de remissão espontânea).
2. Não devemos ignorar toxicidade cumulativa da CYC (infertilidade, neoplasias) — planeje dose total e faça monitorização rigorosa.
3. Não devemos esquecer de integrar biomarcadores (anti-PLA2R) à decisão e ao seguimento (queda sorológica costuma preceder a queda da proteinúria).
###### **Uma vez indicado o tratamento, temos as seguintes opções:**
1. Risco alto/urgência: ciclofosfamida + corticoides.
2. Risco moderado/estável: rituximabe (preferido), inib. da calcineurina ou citotóxicos.
3. Risco baixo: apenas suporte e monitoramento (dieta, SRAA, diuréticos, controle lipídico).
Mas quando se trata de iniciar o esquema Ponticelli modificado, logo vem aquele pensamento…esse tratamento é muito trabalhoso e acarreta muitos efeitos colaterais, não é verdade?
Acaba de sair no Kidney International Reports um trial que testou um esquema alternativo mais práticoe simples de imunossupressão com doses reduzidas [[link](https://www.kireports.org/article/S2468-0249(25)00524-8/fulltext)]— mantendo eficácia e com menos toxicidade. Confira o resumo e veja como esses achados podem mudar nossa prática clínica!
###### PRINCIPAIS PONTOS DO ESTUDO
###### 🔬 Desenho e população
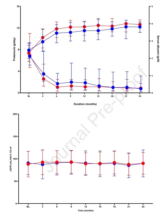
* Randomizado (1:1), n=114 (57 por braço); NM primária com síndrome nefrótica persistente após terapia de suporte.
* Exclusões: TFGe <45 mL/min/1,73m², infecção ativa (HBV/HCV/HIV) ou outras causas secundárias.
###### 💉 Intervenções (ciclos mensais alternados por 6 meses):
1. Dose reduzida: prednisolona 0,5 mg/kg/d nos meses 1,3,5 + CYC 1,0–1,5 mg/kg/d nos meses 2,4,6.
2. Dose padrão: metilpred 1 g/d por 3 dias, depois prednisolona 0,5 mg/kg/d nos meses 1,3,5 + CYC 2,0–2,5 mg/kg/d nos meses 2,4,6.

###### 🎯 Desfecho primário: remissão completa ou parcial de proteinúria entre 6 e 24 meses.
###### ✅ Resultados (análise Intention to Treat):
* Remissão (RC+RP): 78,9% (dose reduzida) vs 87,7% (padrão).
* Não-inferioridade alcançada (p=0,009).
* Eventos adversos (≥1): 78,9% (reduzida) vs 96,5% (padrão) — menos eventos adversos com dose reduzida.


###### Conclusão dos autores:
O esquema reduzido foi não inferior ao padrão para remissão de proteinúria e mostrou perfil de segurança mais favorável.
###### 📖 Como esse artigo pode mudar nossa prática?
* Em cenários onde você optaria por citotóxico (ex.: TFG caindo, indisponibilidade de rituximabe, custo), o Ponticelli de dose reduzida é uma alternativa válida para reduzir toxicidade, mantendo eficácia clínica comparável na janela 6–24 meses.
* Lembre-se de monitorar hemograma, sinais de infecção e exposição cumulativa à CYC (risco gonadal/oncogênico).
* Implicações clínicas (o que muda na conduta)
✅ Se a estratégia é CYC + corticoide, dá para reduzir dose sem perder eficácia clínica relevante (remissão RC/RP) e diminuir eventos adversos.
✅ Individualize pela estratificação de risco e PLA2R, reservando CYC para quem mais se beneficia (ex.: TFG em queda).
✅ Considere rituximabe quando disponível e apropriado (manutenção de remissão superior a CNI em RCTs prévios).